近日,我院汤富杰副教授课题组在人工智能辅助固液界面谱学计算领域取得新进展。相关成果“Revealing the molecular structures of α-Al2O3(0001)–water interface by machine learning based computational vibrational spectroscopy”为题发表于国际知名物理化学期刊J. Chem. Phys.《Journal of Chemical Physics》。该论文被编辑评为“Editor's Pick”,编辑每年在两千多篇论文中精选四十余篇,旨在选出物理化学领域最有创新性和影响性的论文。此外该论文是应客座编辑邀请参与的纪念著名非线性光学大师沈元壤教授专刊“Festschrift in honor of Yuen-Ron Shen”,该专刊用来介绍非线性光学的发展以及在表/界面相关问题研究领域中的顶尖科学家的贡献。

图1:α-Al2O3(0001)-水界面示意图
固液界面对许多物理和化学过程都至关重要,界面双电层的结构研究一直是热点问题,和频光谱(SFG)作为一类特殊的界面敏感光谱学手段,已经用于对固液界面的广泛研究。要在特定光谱信号和独特的界面水结构之间建立明确的相关性,需要使用分子动力学(MD)模拟进行理论计算。这些模拟通常需要相对较长的轨迹(几纳秒),才能通过偶极矩-极化率时间相关函数实现可靠的SFG光谱计算。然而,对长轨迹的要求限制了成本高昂的技术如从头算分子动力学(AIMD)模拟的使用。
在此研究中,提出了一种基于机器学习(ML)加速方法计算固液界面振动光谱(红外、拉曼和 SFG 光谱)的途径,旨在解决由于传统MD模拟计算开销过大导致无法高效计算复杂固液界面振动光谱的问题。具体来说训练了Deep Potential(DP)模型和Deep Wannier(DW)模型,分别对slab模型结构的势能、力、偶极矩和极化率进行了预测。通过这些预测结果,快速且低成本地计算了α-Al2O3(0001)-水界面的各种振动光谱。轨迹结构分析和振动光谱计算表明,ML模型达到了第一性原理的计算精度。

图2:基于AIMD和DPMD得到的界面水密度分布(a)、表面羟基角度分布(b)和四面体有序参数对比(c)

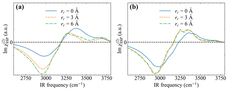
图3:基于μ-α(a)和ssVVCF(b)两种方法计算得到的 SFG 光谱
论文重点研究了基于偶极矩-极化率关联函数(μ-α)和表面敏感速度-速度关联函数(ssVVCF)两种方法计算 SFG 光谱的差异。结果表明,使用μ-α方法计算α-Al2O3(0001)-水界面的SFG光谱时,计算互关联项时需要考虑较大的截断半径。这是由于表面羟基和界面第一层水之间的相互作用对 SFG 光谱产生了显著影响。这种影响有别于不同截断半径对空气-水界面和疏水界面的 SFG 光谱的影响。此外两种方法都表明α-Al2O3(0001)表面存在着直立和水平的羟基,对应的振动频率也存在明显差异,这与两种羟基形成的氢键强度存在密切关系。

图4:两种不同类型的界面羟基示意图(a)和对应的界面羟基的SFG光谱(b)
该研究为进一步借助 ML 方法以更低的计算成本更快地计算复杂固液界面体系的 SFG 光谱提供了潜在的可能,从而揭示电化学研究中至关重要的界面双电层提供了可能性。该工作在我院汤富杰副教授和化学化工学院程俊教授共同指导下完成。
论文链接:
Du, X., Shao, W., Bao, C., Zhang, L., Cheng, J., Tang, F. Revealing the molecular structures of α-Al2O3(0001)-water interface by machine learning based computational vibrational spectroscopy. J. Chem. Phys., 2024, 161, 124702. https://doi.org/10.1063/5.0230101